您的當前位置:網站首頁 > 新聞中心 > 行業新聞 > 怎樣選擇設計雷蒙磨的主要參數?
發布時間:2013-07-26 14:44:07
更新時間:2021-07-06 14:44:07
作者:小琪
歡迎
在線咨詢
獲取報價清單及產品資料,賺錢從這里開始、期待您的來廠參觀!
1 雷蒙磨設備圖 2 廠家直銷
雷蒙磨具有性能穩定、能耗低、產品細度可調、操作方便等優點,因此在煤炭、化工、選礦、化學等行業中應用廣泛。
雷蒙磨的主要參數選擇是否合適,關系著雷蒙磨的工作效率與經濟效益,因此要合理選擇設計它的主要參數。下文對其主要參數的選擇設計方法作一介紹。

雷蒙磨的最大給料粒度可根據下圖計算。設磨環內直徑為D,磨輥直徑為d,給料粒度為X0,鉗角為α,物料與磨環、磨輥之間的摩擦系數為f。
.jpg)
根據上圖可知,
,
根據此式可得:
,摩擦角:Φ=arctanf。
與其他粉碎機械一樣,磨環和磨輥要把物料夾住,必須滿足:α≤2Φ。摩擦角與物料的種類、物料的粒度有關,不同的研究者試驗確定的數值波動較大。
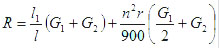
當梅花架帶動懸軸磨輥運動時,作用于磨輥上的力有:磨輥柄部的重力G1,離心力(G1/g)rw2,輥子的重力G2,離心力(G2/g)rw2,磨環的支反力R和鉸鏈支反力F。很據平衡條件可得磨環的支反力,即粉碎力R(N):
,式中G1、G2是磨輥柄部和輥子的重力(N),l1是磨輥自轉中心與擺動中心的距離(m),l是磨輥的公轉半徑(m),n是主軸轉速(r/min)。
雷蒙磨磨輥上的受力不一定均勻分布,設定壓力F,轉矩為Md,雷蒙磨的轉速為nk,磨輥數目為Z,機械效率為η,則雷蒙磨的傳動功率N為:。功耗與被粉碎物性質、產品細度、處理量有很大的關系,一般單位功耗在7~85kW·h/t。
廠家地址:中國鄭州高新技術開發區梧桐街與紅松路交叉口中國高端礦機生產出口基地園區,咨詢電話:0371-67772626
上一篇:圓錐破碎機的動力學計算
![]()
![]()
在線留言想了解價格?產量?型號?售后?請留言,我們第一時間為您回復